Excel在生物统计中的应用(一)

 
  

主要内容
  Excel的概述

利用Excel中的统计工具计算常用的概率分布

利用Excel进行数据整理

EXCEL界面-工作簿和工作表
  

Excel 概述

Excel电子表格具有强大的统计分析功能。利用电子表格可以解决一般的畜牧试验和生产实际中数据常见的统计分析问题。

Excel的统计分析过程主要通过内置的“分析工具库”和“粘贴函数”来完成。

利用Excel进行
  常用的概率分布的计算

EXCEL电子表格提供的粘帖函数
  1、 BINOMDIST 计算二项式分布的概率值
  2、 CHIDIST 计算特定χ2分布的单尾概率值
  3、 CHIINV 计算一定单尾概率值时的χ2临界值
  4、 FDIST 计算特定F分布的单尾概率值
  5、 FINV 计算一定概率时的临界F值
  6、 NORMDIST 计算正态分布的累积函数
  7、 NORMINV 计算正态分布累积函数的逆函数
  8、 TDIST 计算学生氏-t分布的概率值
  9、 TINV 计算特定概率时学生氏-t分布的临界t值
  10、AVERAGE 计算算术平均值
  11、CHITEST 计算独立性检验的χ2
  12、CONFIDENCE 计算总体平均值的置信区间
  13、CORREL 计算两组数据的相关系数
  14、COVAR 计算两组数据的协方差
  15、FTEST 计算二个样本方差之比F值的概率
  16、GEOMEAN 计算几何平均数
  17、HARMEAN 计算调和平均数
  18、INTERCEPT 计算直线回归的截距
  19、MAX 计算最大值
  20、MEDIAN 计算一组给定数字的中位数
  21、MIN 计算最小值
  22、MODE 计算一组数据的众数
  23、NORMSDIST 计算标准正态分布的累积函数
  24、NORMSINV 计算标准正态分布累积函数的逆函数
  25、POISSON 计算泊松分布的概率
  26、SLOPE 计算给定数据的直线回归系数
  27、STDEV 计算样本标准差
  28、STDEVP 计算样本总体的标准差
  29、TTEST 计算t检验时的学生氏-t检验相关的概率
  30、VAR 计算样本的方差
  31、VARP 计算样本总体的方差
  32、ZTEST 计算u-检验的双尾概率值

复习:二项分布

二项分布的概率函数为
  

二项分布的平均数、方差和标准差
  

二项分布概率的计算实例

已知某种猪病的死亡率为30%,现有10头病猪,如不给予治疗,问死亡4头及死亡4头和4头以下的概率为多少?

1)死亡4头的概率计算公式为:
  

2)死亡4头和4头以下概率的计算公式为:
  

二项分布概率用函数(BINOMDIST): ---------死亡4头的概率计算
  
  
  
  
  复习:普哇松分布
  普哇松分布的概率函数
  
  λ为常数,它等于平均数等于方差
  

  普哇松分布概率的计算实例
  已知某一地区,仔猪出现怪胎的事件服从普哇松分布P(2),请计算该地区出现3次怪胎的概率及出现3次和3次以下怪胎的概率为多少?

1)出现3次怪胎概率的公式为:
  

2)出现3次和3次以下怪胎的概率计算公式为:
  

  普哇松分布概率用函数(POISSON): ---------出现3次怪胎概率
  
  

  复习:正态分布

正态分布的概率函数为:
  

  用符号x~N(μ,σ2) 表示
  NORMDIST粘帖函数:计算累积函数
  NORMINV粘帖函数:计算逆函数

正态分布分布概率的计算实例
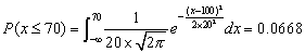
  已知某品种成年猪体重的总体平均数μ=100kg,总体标准差σ=20kg。试计算成年猪体重在70kg以下的概率。计算公式如下:
  

正态分布分布概率的计算(NORMDIST) ---------成年猪体重在70kg以下的概率
  
  
  

正态分布分布概率的计算(NORMDIST) -------正态曲线X=70时的纵高
  


| 下一页 |