|
|
1.测量学
2.地物
3.直线定线 |
 |
答:
1.测量学是研究地球的形状、大小和地表面上各种物体的几何形状及其空间位置的科学。
2.地面上固定性的物体称为地物,分为自然地物和人工地物两类。
3.在欲量直线的方向上作一些标记表明直线走向,这种工作称为直线定线。 |
|
1.确定地面点位的三个基本要素是(1)、(2)、(3) 。
2.导线测量的外业工作有(4)、(5)、(6) 。
3.地形图上0.1毫米所表示的实地距离称为(7)。
4.在同一幅地形图中,等高线平距大的表示地面坡度(8),平距小的表示地面坡度(9)。
5.确定直线与标准方向的关系称为(10),测量上通常采用的标准方向是(11)。
6.地面上的点到(12)的铅垂距离为相对高程,到(13)的铅垂距离为绝对高程。两点之间的绝对高程之差与相对高程之差(14)。
7.房产图可分为(15)、(16)和(17)。
8.选择地籍图比例尺的依据是(18)、(19)和(20)。
9.据《土地利用现状调查技术规程》的规定,地形图上最小图斑面积居民地是(21)m2,耕地是(22)m2,其他地类是(23)m2。
10.地分等定级主要是对城镇土地利用的(24)的评定,而农用土地分等定级主要是对农用土地的(25)的评定。
11.现阶段我国权属调查分为(26)、(27)和(28)。
|
 |
答:
1.(1)水平角,(2)水平距离,(3)高差
2.(4)踏勘选点,(5)测角,(6)量边
3.(7)比例尺精度
4.(8)小(缓),(9)大(陡)
5.(10)直线定向,(11)坐标北(坐标纵轴方向)
6.(12)任意水准面,(13)大地水准面,(14)相等
7.(15)房产分幅平面图,(16)房产分宗平面图,(17)房产分户平面图8.(18)繁华程度和土地价值,(19)建设密度和细部要求,(20)测量方法
9.(21)4m2,(22)6m2,(23)15m2
10.(24)适宜性,(25)质量(生产力大小)
11.(26)全民土地使用权调查,(27)集体土地所有权调查,(28)集体土地使用权调查 |
|
| 1.说明用方向观测法(全圆测回法)观测水平角一测回的工作步骤。 |
 |
|
|
| 2.说明等高线的概念、特性及典型地貌的基本形状。 |
 |
答:
等高线:是地面上高程相等的相邻各点连成的闭合曲线。
等高线特性:
(1) 在同一条等高线上的各点的高程相等;
(2) 等高线是闭合的曲线;
(3) 不同高程的电工学不能相交;
(4) 等高线与山脊线、山谷线正交;
(5) 两等高线间的垂直距离称为平距,等高线间平距的大小与地面坡度的大小成反比。
地貌的基本形状:山(山丘)、山脊、山谷、鞍部、盆地(洼地) |
|
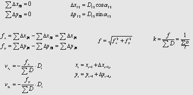
| 3.写出闭合导线内业计算的基本公式和计算步骤。 |
 |
答:
导线计算的基本步骤:
角度闭合差的计算和调整;
用改正后的导线左角或右角推算各边的坐标方位角;
坐标增量的计算;
坐标增量闭合差的调整;
计算各导线点的坐标。
闭合导线内业计算公式:
角度闭合差的计算与调整及各边方位角的计算公式
坐标增量闭合差的计算与调整及各导线点坐标的计算公式
|
|
| 4.简述地籍调查的含义及目的。 |
 |
答:
含义:是政府为取得土地权属和利用状况等基本地籍资料而组织的一项系统性社会调查工作。
目的:在于弄清土地的基本状况,并把它们反映到地籍调查表中和地籍图上。 |
|
| 5.城镇土地分等定级和农用土地分等定级的含义。 |
 |
答:
城镇土地分等定级是对城镇土地利用的适宜性的评定,也是对城镇土地资产价值进行科学评估的一项工作。其等级是揭示城镇不同区位条件下,土地价值的差异规律的表现形式。
农用土地分等定级则是对农用土地质量,或是对其生产力大小的评定。也是通过对农业生产条件的综合分析,对农用土地生产潜力及其差异程度的评估工作。农用土地分等定级成果直接为指导农用土地利用和农业生产服务。 |
|
| 6.图解法面积量算的方法与平差原则。 |
 |
答:
图解法量算面积,其方法比较多,包括几何要素与坐标量算法、膜片法、求积仪法、沙维奇法、光电测积法以及电算法等。
平差原则:
第一级:以图幅理论面积为首级控制;
第二级:以平差后的区块面积为二级控制。 |
|
四.计算题(10分)
1.如下图,已知水准点A的高程 HA=48.646m,闭合水准路线各测段的测站数和高差如图所示,容许闭合差为±12 mm,试在表中计算各点的高程。
|
 |
答:
|
|
|